Aşağıdemirtaş, Sakabaşı ve Sütlüce'nin Anahtar Teslim Tarihleri Belli Oldu

Merkez Aşağıdemirtaş, Sakabaşı ve Sütlüce Köyleri toplu alanlarda konut çıkan hak sahibi ailelerin konutlarının teslimleri 06.06.2022 – 21.07.2022 tarihleri arasında yapılacak.

Aşağıdemirtaş, Sakabaşı ve Sütlüce'nin Anahtar Teslim Tarihleri Belli Oldu

24 Ocak 2020 tarihinde Elazığ’de 6.8 büyüklüğünde meydana gelen yıkıcı depremin yaraları sarılmaya devam ediyor.

Merkez Aşağıdemirtaş, Sakabaşı ve Sütlüce Köylerindeki konutların anahtar teslim tarihleri AFAD İl Müdürlüğü tarafından açıklandı.

6 HAZİRAN - 21 TEMMUZ TARİHLERİNDA ANAHTAR TESLİMİ YAPILACAK

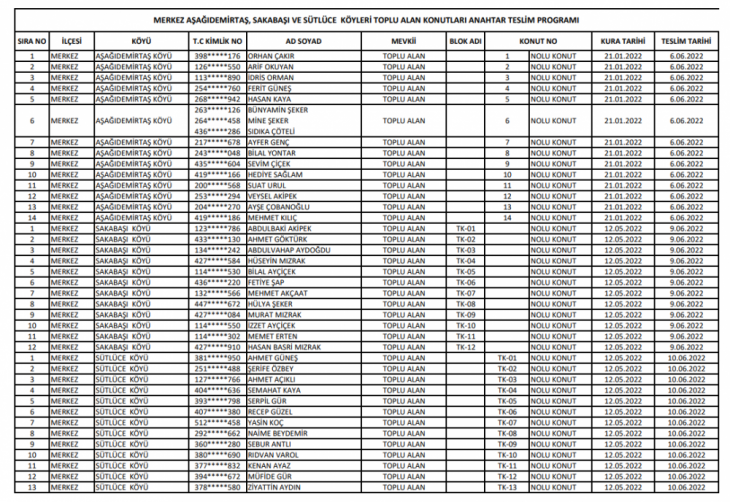
24.01.2020 tarihlerinde meydana gelen deprem afeti nedeniyle Merkez Aşağıdemirtaş, Sakabaşı ve Sütlüce Köylerindeki ağır hasarlı konutlarından hak sahibi olan ailelerden çekilen kura sonucu adına Merkez Aşağıdemirtaş, Sakabaşı ve Sütlüce Köyleri toplu alanlarda konut çıkan hak sahibi ailelerin konutlarının teslimleri 06.06.2022 – 21.07.2022 tarihleri arasında yapılacak.

Konutlarını becayiş yapmak isteyen hak sahiplerimiz aynı köy kurasında kendilerine konut çıkan afetzedeler ile 06.06.2022 – 21.06.2022 tarihleri arasında Elazığ 1. Noterliği vasıtasıyla karşılıklı olarak becayişlerini yapabilecek. Konut teslim programı ayrıca Elazığ Afet ve Acil Durum Müdürlüğünün https://elazig.afad.gov.tr internet adresinden ilan edildi.

Konutlarını 45 günlük sürede teslim almayanların 7269 sayılı Kanunun 3177 sayılı kanunla değişik 40. maddesine göre yasal olarak hak sahiplikleri iptal edilecek.

Aşağıdemirtaş, Sakabaşı ve Sütlüce'nin Anahtar Teslim Tarihleri Belli Oldu